betway西汉姆联官网

招标采购

-Bidding

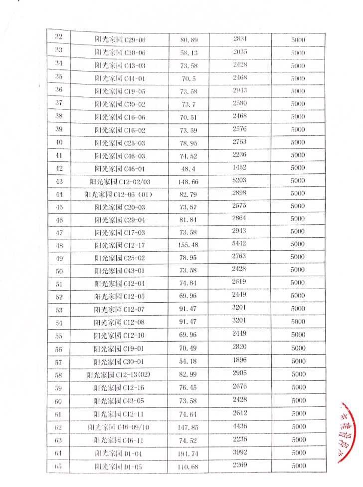
阳光家园租赁条约到期商铺租赁项目(一)招租通告

日期:2023-08-09

image.png

image.pngimage.pngimage.pngimage.pngimage.png

网站地图